Iklan 300x250

37 jk flip flop state diagram

Circuits with Flip-Flop = Sequential Circuit. Circuit = State Diagram = State Table. State Minimization. Sequential Circuit Design.19 pages The state of a latch or flip-flop is switched by a change ... a state transition table or state transition diagram ... Analysis with JK flip-flops.73 pages

Suggested state definition tables, transition diagrams, transition tables, K-maps for the respective logic functions, and schematics of the implementation using flipflops and logic gates for both a D flip-flop and a J-K flip-flop scenario will be given.

Jk flip flop state diagram

Jk flip flop state diagram

JK Flip Flop-. JK flip flop is a refined & improved version of SR Flip Flop. that has been introduced to solve the problem of indeterminate state. that occurs in SR flip flop when both the inputs are 1. In JK flip flop, Input J behaves like input S of SR flip flop which was meant to set the flip flop. Input K behaves like input R of SR flip ... Circuits with Flip-Flop = Sequential Circuit. Circuit = State Diagram = State Table. State Minimization. State Minimization. Sequential Circuit Design.28 pages Problem: Design a 11011 sequence detector using JK flip-flops. Allow overlap. Step 1 - Derive the State Diagram and State Table for the Problem Step 1a - Determine the Number of States We are designing a sequence detector for a 5-bit sequence, so we need 5 states.

Jk flip flop state diagram. Table 3. State diagrams of the four types of flip-flops. You can see from the table that all four flip-flops have the same number of states and transitions. Each flip-flop is in the set state when Q=1 and in the reset state when Q=0. Also, each flip-flop can move from one state to another, or it can re-enter the same state. 4 equal to the exclusive-OR of the present state and the next state. This can be expressed by the excitation function DESIGN PROCEDURE The design procedure for sequential circuits with JK flip- flops is the same as that for sequential circuits with D flip-flops, except that the flip-flop input equations must be evaluated from the present-state to next-state Derivation of State Tables and Diagrams Mealy machine example Flip-Flop inputs and circuit output functions J A = xB K A = x J B = x K B = xA z = xB' + xA + x'A'B Once again, begin with characteristic Equation for JK Flip-Flop Q+ = JQ' + K'Q A JK flip-flop is a sequential bi-state single-bit memory device named after its inventor by Jack Kil. In general it has one clock input pin (CLK), two data input pins (J and K), and two output pins (Q and Q̅) as shown in Figure 1. JK flip-flop can either be triggered upon the leading-edge of the clock or on its trailing edge and hence can ...

JK Flip Flop Circuit Diagram. The JK flip-flop is probably the most widely used and is considered the universal flip-flop because it can be used in many ways. In our previous article we discussed about the S-R Flip-Flop. Actually, a J-K Flip-flop is a modified version of an S-R flip-flop with no "invalid" output state . This video explains the state diagram, state table and VHDL code for J-K flip flop.Dr. A. V. ThalangeAssociate Professor,E&TC Dept.,WIT, Solapur A JK flip-flop has two inputs similar to that of RS flip-flop. We can say JK flip-flop is a refinement of RS flip-flop. JK means Jack Kilby, a Texas instrument engineer who invented IC. The two inputs of JK Flip-flop is J (set) and K (reset). A JK flip-flop is nothing but a RS flip-flop along with two AND gates which are augmented to it. Choose the type of flip flop. Draw the state diagram of the counter. Draw the excitation table of the selected flip flop and determine the excitation table for the counter. Use K-map to derive the flip flop input functions. Design Problem #1. Design 3-bit synchronous up counter using JK flip flops.

JK Flip Flop-. JK flip flop is a refined & improved version of SR Flip Flop. that has been introduced to solve the problem of indeterminate state. that occurs in SR flip flop when both the inputs are 1. In JK flip flop, Input J behaves like input S of SR flip flop which was meant to set the flip flop. Input K behaves like input R of SR flip ... designed. Alternatively obtain the state diagram of the counter. • Determine the number and type of flip-flop to be used. • From the excitation table of the flip-flop, determine the next state logic. • From the output state, use Karnaugh map for simplification to derive the circuit output functions and the flip-flop output functions. Figure JKSM-1 is an example state machine using J-K flip-flops. Reading the logic diagram, we can derive the following excitation equations: Substituting into the characteristic equation for J-K flip-flops, we obtain the transition equations: J0 = X ⋅ Y′ K0 = X ⋅ Y′ + Y ⋅ Q1 J1 = X ⋅ YQ0 + K1 = Y ⋅ Q0′ + X ⋅ Y′ ⋅ Q0 APPLICATION OF S-R LATCH, Edge-Triggered D Flip-Flop, J-K Flip-flop ; Data Storage using D-flip-flop, Synchronizing Asynchronous inputs using D flip-flop ... Elevator State Diagram, State Table, Input and Output Signals, Input Latches ; Traffic Signal Control System: Switching of Traffic Lights, Inputs and Outputs, State Machine ...

The JK Flip Flop removes these two drawbacks of SR Flip Flop. The JK flip flop is one of the most used flip flops in digital circuits. The JK flip flop is a universal flip flop having two inputs 'J' and 'K'. In SR flip flop, the 'S' and 'R' are the shortened abbreviated letters for Set and Reset, but J and K are not.

State diagram for JK-flip-flop. Ask Question Asked 6 years, 6 months ago. Active 6 years, 2 months ago. Viewed 2k times 0 \$\begingroup\$ I'm trying to create a simple state-diagram for a JK flip-flop, and this is what I've come up with. I've seen other variants of this diagram, but to me this seems like a correct one if you look at the state ...

The type of flip-flop to be use is J-K. Figure 13. State diagram. From the state diagram, we can generate the state table shown in Table 9. Note that there is no output section for this circuit. Two flip-flops are needed to represent the four states and are designated Q 0 Q 1. The input variable is labeled x.

9. The JK flip-flop state table The State Diagram is Q Q (next) J K 0 0 0 X 0 1 1 X 1 0 X 1 1 1 X 0. 10. When the clock triggers, the value remembered by the flip-flop either toggles or remains the same depending on whether the T input (Toggle) is 1 or 0. Characteristic Equation Q (next) =TQ' +T'Q Symbols & Characteristic Equation T Q 0 Q 1 Q'.

JK flip flop Logic Diagram. JK flip - flop logic diagram is shown in the below figure. As said before, JK flip - flop is a modified version of SR flip - flop. Logic diagram consists of three input NAND gates replacing the two input NAND gates in SR flip - flop and the inputs are replaced with J and K from S and R.

There is no indeterminate condition, in the operation of JK flip flop i.e. it has no ambiguous state. The circuit diagram for a JK flip flop is shown in Figure : These J and K inputs disable the NAND gates, therefore clock pulse have no effect on the flip flop. In other words, Q returns it last value. When J = 0 and K = 1,

state diagrams of flip flops 1. ByUnsaShakir 2. A state diagram is a diagram used in computer science to describe the behavior of a system considering all the possible states of an object when an event occurs. State diagrams are often used to represent the dynamic behavior of systems. The circles in a state diagram cor

On this channel you can get education and knowledge for general issues and topics

Circuit, State Diagram, State Table State: flip-flop output combination Present state: before clock Next state: after clock State transition <= clock 1 flip-flop => 2 states 2 flip-flops => 4 states 3 flip3 flip-flops => 8 statesflops => 8 states 4 flip-flops => 16 states

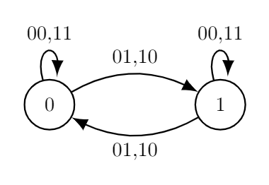
The JK Flip-Flop State diagram 1 0 JK = X1 JK = 1X JK = X0 JK = 0X. February 13, 2012 ECE 152A - Digital Design Principles 13 The JK Flip-Flop

The circuit diagram of the JK Flip Flop is shown in the figure below:. The S and R inputs of the RS bistable have been replaced by the two inputs called the J and K input respectively. Here J = S and K = R. The two-input AND gates of the RS flip-flop is replaced by the two 3 inputs NAND gates with the third input of each gate connected to the outputs at Q and Ǭ.

JK Flip-Flop. JK flip-flop is the modified version of SR flip-flop. It operates with only positive clock transitions or negative clock transitions. The circuit diagram of JK flip-flop is shown in the following figure. This circuit has two inputs J & K and two outputs Q(t) & Q(t)'. The operation of JK flip-flop is similar to SR flip-flop.

The J (Jack) and K (Kilby) are the input states for the JK flip-flop. The Q and Q' represents the output states of the flip-flop. According to the table, based on the inputs, the output changes its state. But, the important thing to consider is all these can occur only in the presence of the clock signal. This, works like SR flip-flop for the ...

The State Diagram of our circuit is the following: (Figure below). The Moore Finite State Machine will be ... A State Table with JK - Flip Flop Excitations.

What is state diagram in flip flop? In addition to graphical symbols, tables or equations, flip-flops can also be represented graphically by a state diagram. In this diagram, a state is represented by a circle, and the transition between states is indicated by directed lines (or arcs) connecting the circles.

Problem: Design a 11011 sequence detector using JK flip-flops. Allow overlap. Step 1 - Derive the State Diagram and State Table for the Problem Step 1a - Determine the Number of States We are designing a sequence detector for a 5-bit sequence, so we need 5 states.

Circuits with Flip-Flop = Sequential Circuit. Circuit = State Diagram = State Table. State Minimization. State Minimization. Sequential Circuit Design.28 pages

JK Flip Flop-. JK flip flop is a refined & improved version of SR Flip Flop. that has been introduced to solve the problem of indeterminate state. that occurs in SR flip flop when both the inputs are 1. In JK flip flop, Input J behaves like input S of SR flip flop which was meant to set the flip flop. Input K behaves like input R of SR flip ...

0 Response to "37 jk flip flop state diagram"

Post a Comment

Iklan Atas Artikel

Iklan Tengah Artikel 1

Iklan Tengah Artikel 2

Iklan Bawah Artikel